【高中數學】DSE Logarithmic Functions 對數函數完全攻略
Logarithmic Functions 對數函數,簡稱【Log】,中四開始教Log可能睇落好深奧,但其實Log對數應用喺日常生活同科學領域都好常見!由地震強度、ph值到聲音分貝,全部都會運用到Log對數,同時都係 DSE 必考課題之一!今日Uni+用最淺白嘅方法,同大家拆解對數嘅基本概念同方程解題技巧,等你輕鬆應付到所有Log嘅題型!
Logarithmic Functions 對數函數基本概念
- 以下面例子理解 Log 對數嘅定義
如果 ax = y,咁 loga y = x,即係問:「要用 a 做底,計幾次方先可以得到 y?」
例子:23 = 8,所以 log2 8 = 3
同學試想像:「如果我每日儲錢翻倍,要儲幾多日先可以有 8 蚊?」
- 第一日:2 蚊
- 第二日:4 蚊
- 第三日:8 蚊
- 答案係 3 日,即係 log2 8 = 3
考試必考!Log對數函數必記公式
下一步,同學不如試下用Emoji記下Log對數函數必考公式!
- loga m + loga n = loga (mn) log✋ + log🤚 = log✋🤚
- loga m − loga n = loga (m / n) log🐥 − log🥚 = log🐣
- loga (mn) = nloga m log😅 = 💧log😄
- loga 1 = 0
- loga a = 1
- loga b = logc b / logc a
方程解題技巧四大題型
第一題型:未知數喺次方
例題: 3x = 8
解法:
3x = 8
log 3x = log 8
x · log 3 = log 8
x = log 8 / log 3
x ≈ 1.89
第二題型:單邊有log
例題: log5(3x + 4)   +  log5(x − 2) = 3
解法:
log5(3x + 4) + log5(x − 2) = 3
    log5[(3x + 4)(x − 2)] = 3
       (3x + 4)(x − 2) = 53
       3x2 − 2x − 133 = 0
         x = 7 或 x = − 19 / 3 (rej.)
第三題型:兩邊都有log
記住: log A = log B ⇔ A = B
例題: log(5x + 2) − log(x + 1) = log 4
解法:
log(5x + 2) − log(x + 1) = log 4
          log[(5x + 2)/(x + 1)] = log 4
                (5x + 2)/(x + 1) = 4
                5x + 2 = 4x + 4
                       x = 2
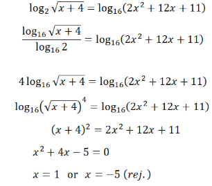
第四題型:唔同底數
小提醒!轉換做相同底數先計!
例題:
解法:
考試貼士
Q:做題有咩注意事項?
A:答題時有以下4個注意:
檢查定義域(x > 0)
對數函數嘅定義域係 x > 0,即輸入值必須大於 0。
解題時要注意呢個限制,唔可以出現負數或 0 嘅情況。
小心底數限制 (a > 0 且 a ≠ 1)
對數函數嘅底數 a 必須滿足 a > 0 且 a ≠ 1。
唔能夠使用 a = 0 或 a = 1 嘅情況,否則會出現問題。
記得驗證答案
揀走不合理答案
有時可能會得出多個答案,要根據題目條件和對數函數嘅性質,排除不符合要求的答案。
Q:Log做題有咩常見陷阱?
A:大概整理到以下5點!大家要小心啊!
忽略底數
係使用對數函數時,要注意底數係咩,唔能夠混淆唔同底數嘅對數。
例如:log(100) 和 log2(100) 係唔同嘅結果。
未驗證最終答案
係解題過程中,要注意最終得出嘅答案是否合理,例如:如果最後計算出 log2(8) = 4,就要仔細檢查係咪有錯誤。
忽略對數嘅性質
對數函數有一些重要嘅性質,如 log(xy) = log(x) + log(y)。
係解題時要善用呢d性質,否則容易出錯。
處理小數或負數
對數函數係處理小數或負數時需要特別注意。
例如:log(-2) 係無意義的,需要先判斷是否合理。
混淆指數函數和對數函數
指數函數和對數函數係相反嘅操作,但係解題時容易混淆。
要清楚區分兩者嘅定義和性質。
必勝錦囊
記住對數和指數關係
係對數同指數係互逆運算
記住「底、指、數」三個位置嘅關係
做對數題目時,可以轉換成指數形式去諗
遇到複雜題目,分步驟慢慢來
寫清楚每一步,唔好跳Step
係解題過程中,要詳細地記錄每一步推導過程,Marking都有過程分架!
最後一定要驗證答案
就算解題過程望落正確,都要final check!
記住:「熟能生巧」,只要多練習,Log一定冇難度!
皇牌數學常規課程
Uni+ Education 提供中一至中六的數學補習班,課程由多位大學數學系本科畢業,包括港大,科大等,實戰考獲5*以上佳績,真正實力保證!本中心採用小班教學形成,師生比例1:8,貼心照顧同學的學習需要!
導師團隊亦會撰寫不同Revision Set溫習筆記,更設計出大量獨家試題練習及模擬試卷,幫助學生避開常見陷阱,輕鬆命中Marking Scheme!同時設有課後問書服務,幫助不同程度學生
持續進步,考獲理想佳績!
課程資訊
每星期一至兩堂
每堂1小時15分鐘
上課地點
香港佐敦吳松街191號突破中心1/F及6/F全層
合適同學
中一至中六想加強數學科的同學
費用
$330/堂

